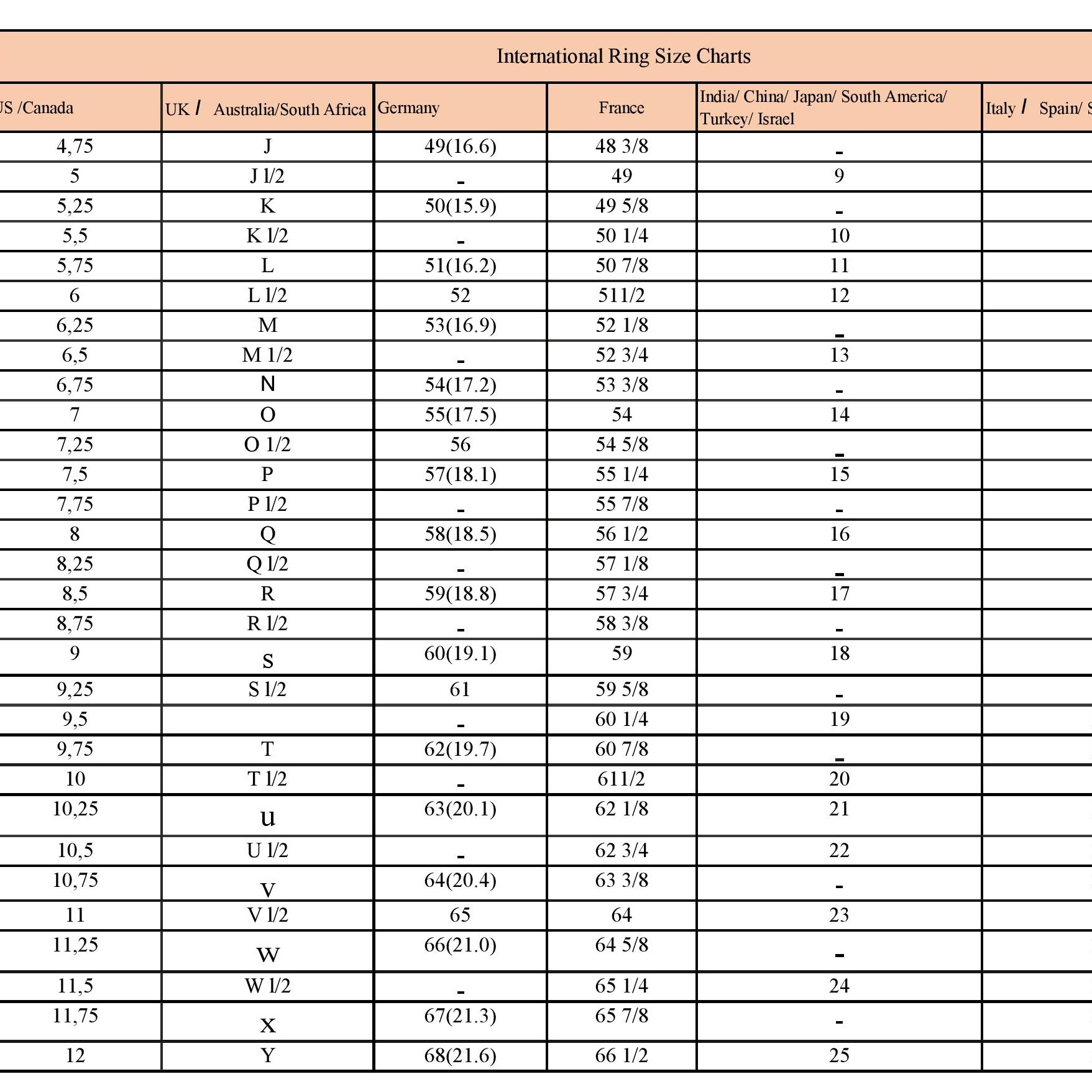
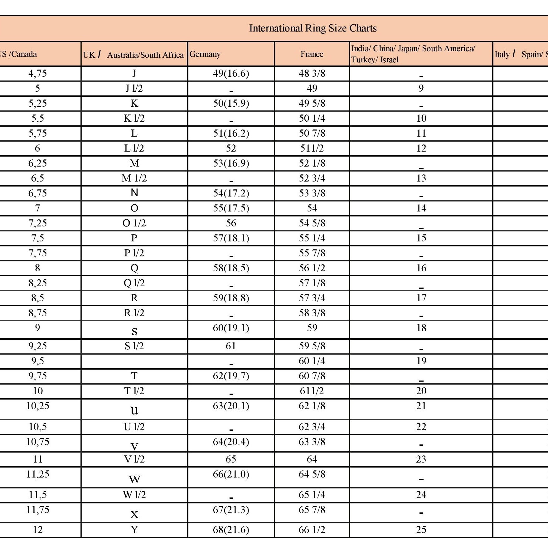
When it comes to buying rings online, knowing your size is crucial. But fret not, as printable ring chart size guides are here to save the day! These handy tools make finding the perfect fit a breeze.
Simply download the printable ring chart size guide, follow the instructions, and voila! You’ll have your ring size in no time. No more guesswork or trips to the jeweler needed – convenience at its finest!
Printable Ring Chart Size
Printable Ring Chart Size: Your New Best Friend
Gone are the days of struggling to figure out your ring size. With a printable ring chart size guide, you can easily measure your finger from the comfort of your own home. It’s quick, easy, and accurate – what more could you ask for?
Not only are printable ring chart size guides convenient, but they’re also cost-effective. Why spend money on multiple trips to the jeweler when you can get an accurate measurement for free? Plus, you can use the guide whenever you need to check your size.
Whether you’re treating yourself to a new ring or shopping for a special someone, knowing the correct size is key. Thanks to printable ring chart size guides, getting it right the first time has never been easier. Say goodbye to ill-fitting rings and hello to perfect fits!
So, next time you’re in the market for a new ring, don’t forget to utilize a printable ring chart size guide. It’s a game-changer in the world of online ring shopping, making the process smoother and more enjoyable. Happy ring hunting!
Conversion Chart Online Ring Sizer Using Ring Printable Ring Sizer Ring Size Finder Ring Size Measurin
Actual Printable Ring Sizer Actual Size Free Ring Sizer Chart Actual Size Ring Size Chart Free
Printable Size Guide Rings Uk How To Ring Size Ruler Printable Ring Sizer Chart Template PDF
Printable Ring Size Chart Lukas Casting House
Printable Ring Size Chart Find Your Ring Size Easy World Of Printables





